ENM1600 Engineering Mathematics Assessment
- Country :
Australia
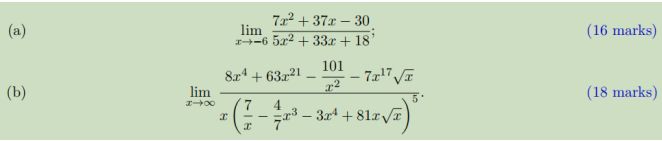
QUESTION 1
(34 marks)
Find each of the following limits:

QUESTION 2
(60 marks)
A rocket is travelling in a straight line for a minute. The distance in metres covered by the rocket during this time is described by the function s = 6t^2 + 8t + 1242 -312 ln( t^2 -12t + 52) m where t =0 and time is given in seconds.
- Find a function that describes the velocity of the rocket. (10 marks)
- What is the velocity of the rocket at the time t = 4 seconds? (4 marks)
- Find all values of time t (if any) when the velocity of the rocket is 80 m^s?1. (18 marks)
- Find a function that describes the acceleration of the rocket. (10 marks)
- Find the acceleration of the rocket at t = 14 seconds. (4 marks)
- Find all values of time t (if any) when the rockets acceleration is 12 m^s?2. (14 marks)
QUESTION 3
(28 marks)
The position of a drone at time t (in minutes) is given by the parametric function
x = 195 tan^1+ 2t + 12e^3(t4) cos (2t^2 -7t -4)
y = 21 ln (t + 3) + 15 e^3(t4) sin( 2t^2 -7t -4)
where both x and y are measured in metres.
- Find an expression for dy/dx in terms of t. (24 marks)
- Use part (a) to evaluate the derivative when t = 4. (4 marks)
QUESTION 4
(42 marks)
Mr Clarkson is trying to decide how much (in tonnes) of product Z to manufacture. He is confifident that he will be able to sell all of product Z that he produces but notes that the amount produced will affect the sales price per tonne he will obtain for product Z. From past experience, he fifinds the price per tonne, if he manufactures x tonnes, is approximated by the function
p(x) = 255- 8x^2 /x^2 + 75
which is given in thousands of dollars. In addition he also notes it will cost ?250 thousand per tonne to manufacture product Z.
- Find a function, f(x), for the total profifit (total revenue ? total cost), in thousand of dollars, if Mr Clarkson produces x tonnes of product Z. You may assume all product Z manufactured is sold. (5 marks)
- Using calculus and the expression found in (a) to determine, algebraically, how much of product Z that Mr Clarkson should produce to maximise the total profifit obtained. What is the maximum total profifit? Check your value of x by substitution into the derivative. Also verify that you have found the maximum by using an appropriate calculus test. (37 marks)
QUESTION 5
(25 marks)
The speed of a car at time t (in seconds) is given by a piecewise function V (t) (in m/s) as shown below. Determine the total distance, d, travelled by the car from t = 0 seconds to t = 25 seconds.

Note: the exponential function, ex , can be written as exp (x).
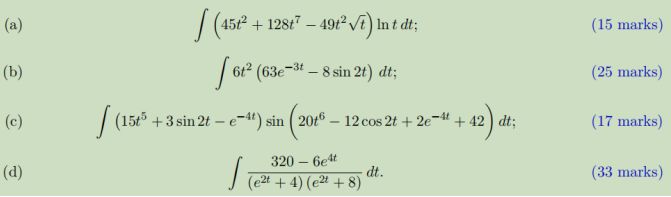
QUESTION 6
(90 marks)
To help fifind the velocity of particles requires the evaluation of the indefinite integral of the acceleration function, a(t), i.e.
v = Za(t) dt.
Evaluate the following indefinite integrals.
Check your value for each integral by differentiating your answer.

QUESTION 7
(21 marks)
Find the volume of the solid of revolution formed by rotating the curve y=1 /1 + x^2 around the x-axis over the interval -1<=x<= 1 where x and y are measured in centimeters.
Hint: Use the substitution method