Draft a report on Control of a Stationary Self-Balancing Two-wheeled Vehicle
- Subject Code :
EE5101
- University :
National University of Singapore Exam Question Bank is not sponsored or endorsed by this college or university.
- Country :
Singapore
1. Background
We all had a tough time when learning to ride a bicycle when we are a teenager. It usually takes months to master that skill after crashing into walls for hundreds of times. Needless to say even after that, it is still difficult for us to ride on uneven surface or turn when riding in a high speed. Would that be excited if such two-wheeled vehicle comes to the market that it can self-balance itself to improve its stability and driving safety?
Self-sustaining two-wheeled vehicle not only is a proof of how control theory has been developed during the past decades, but also has a huge market potential. Therefore, a lot of researchers from universities and companies are working on related topics. Although most of the study are still in experimental stage, there are research groups and startups that have already published demonstration video online, such as the C-1 motorcycle from Lit Motors [1].
Figure 1 is a screenshot from a demonstration video on YouTube. As we can see, the vehicle looks like a motorcycle from outside, but inside the vehicle the driver drives as if it is a car. The vehicle self-balances itself when running on the road or even when it is still. This two-wheeled self balancing vehicle is said to combine the virtues of both the car and the motor: safety and low cost.
.png)
Since there are many more dynamics involved when the vehicle is running, in this mini-project we only consider the self-balance of the two-wheeled vehicle when it is stationary. We will try to balance this vehicle using the control methods we have learned in Linear Systems.
2. Modelling
For model-based control, the first step is to build an effective dynamic model for our target plant, i.e., the two-wheeled vehicle in this project. The detailed procedures to model this vehicle can be found in [2] and [3]. Here we only give a short introduction and the resulted state space model.
An experimental system for the two-wheeled vehicle prototype is shown in Figure 2. The two wheeled vehicle consists of three parts. There is a cart system that corresponds to the riders center of-gravity movement, a steering system (a front part) for steering, and a body (a rear part). The front part and the rear part are structures that are movable through a steering axis. A cart system and a steering system are driven by DC servo motor, and DC motors are controlled by servo amplifier which contains the velocity control system. Handle angle and cart position are measured by encoders. Attitude angles of the two-wheeled vehicle (roll angle and yaw angle) are measured by gyroscopes.
.png)
.png)
The mechanical structure for the two-wheeled vehicle is given in Figure 3. The two-wheeled vehicle is stabilized by moving the cart position d (t) and adjusting the handle angle ?(t). The control inputs are the voltages u c(t) and uh (t) to two DC servo motors, which drives the cart system and the steering system correspondingly. For the dynamic model, the relevant symbols are defined in Table 1.
Table 1 Definition of Symbols
.png)
In [2], the state space linear model for the two-wheeled vehicle is derived to be
x=Ax+Bu (1)
y=Cx
where the state variable is
x=[d(t) ?(t) ?(t) d(t) ?(t) ?(t) d(t)]T(2)
and the matrices and the input vector are
.png)
The physical parameters in (5) can be measured directly or identified by experiments. The value of all these physical parameters is summarized in Table 2.
.png)
where in Table 2 a, b, c, d represent the last four digits in your matriculation number. For example, if your matriculation number is A0162903M, then a = 2, b = 9, c = 0, d = 3and one of the parameters can be computed as ?x = 3.33 ? 9/20 + 2 ? 0/60 = 2.88.
3. Control System Design
After all, we get a linear state space model (1) for the stationary two-wheeled vehicle. In the following, different control strategies will be explored to stabilize this vehicle to achieve its self balance. We will target both the regulation and set point tracking problems. The initial condition for the two-wheeled vehicle system (1) is assumed to be0
x0 =[0.2, 0.1, 0.15, 1, 0.8, 0]T.
3.1 Design specifications
The transient response performance specifications for all the outputs y in state space model (1) are as follows:
1) The overshoot is less than 10%.
2) The 2% settling time is less than 5 seconds.
Note: (a) This transient response is checked by giving a step reference signal for each input channel, i.e., [1, 0] and [0, 1], with zero initial conditions; (b) For all the following task 1) to 5), your control system should satisfy this performance specification and you are supposed to finish the required investigation for each task as well.
3.2 Tasks
Your study should include, but not limited to
1) Assume that you can measure all the six state variables, design a state feedback controller using the pole place method, simulate the designed system and show all the six state responses to non zero initial state with zero external inputs. Discuss effects of the positions of the poles on system performance, and also monitor control signal size. In this step, both the disturbance and set point can be assumed to be zero. (10 points)
2) Assume that you can measure all the six state variables, design a state feedback controller using the LQR method, simulate the designed system and show all the state responses to non-zero initial state with zero external inputs. Discuss effects of weightings Q and R on system performance, and also monitor control signal size. In this step, both the disturbance and set point can be assumed to be zero. (10 points)
3) Assume you can only measure the three outputs. Design a state observer, simulate the resultant observer-based LQR control system, monitor the state estimation error, investigate effects of observer poles on state estimation error and closed-loop control performance. In this step, both the disturbance and set point can be assumed to be zero. (10 points)
4) Suppose we are only interested in the two outputs d t( ) and ? ( )t , i.e., a new output matrix is
.png)
then we get a 2-input-2-output system. Design a decoupling controller with closed-loop stability and simulate the step set point response of the resultant control system to verify decoupling performance with stability. In this step, the disturbance can be assumed to be zero. Is the decoupled system internally stable? Please provide both the step (transient) response with zero initial states and the initial response with respect to x0of the decoupled system to support your conclusion.
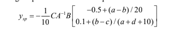
5) Assume that the operating set point for the three outputs is
.png)
where a, b, c, d are still the last four digits in your matriculation number, as defined above. Therefore, the objective of the controller is to maintain the output vector around this operating set point as close as possible.
Assume that you only have three cheap sensors to measure the output. Design a controller such that the plant (vehicle) can operate around the set point as close as possible at steady state even when step disturbances are present at the plant input. Plot out both the control and output signals. In your simulation, you may assume the step disturbance for the two inputs, w=[-1,1]Ttakes effect from time Td= 10 afterwards.
6) We have learned about the multivariable integral control using state space model in Chapter 9. It is a classical way to solve the set point tracking problem even when a constant disturbance is involved. Now for the two-wheeled vehicle, can we maintain the three outputs at an arbitrary constant set point with zero steady-state error? You can try the integral control method or any other method you figure out. You can use simulations to test various set points and see the results. Please give a formal mathematical analysis/proof for your conclusion.
Note that there are no unique answers to all the above design questions. For the tasks in our project, you can assume that the control input is unlimited. However, in practice all the physical actuators can only provide a limited drive capacity. You need to make your own judgement assuming you are the engineer responsible for the control system design in the real world. There are three major factors you should consider when you design and justify your controller:
- Speed --- Transient response
- Accuracy --- Steady state error
- Cost ---- Size of the control signals
Get your Draft a report on Control of a Stationary Self-Balancing Two-wheeled Vehicleassignment solved by our Mathematics Experts from Exam Question Bank . Our Assignment Writing Experts are efficient to provide a fresh solution to all question. We are serving more than 10000+ Students in Australia, UK & US by helping them to score HD in their academics. Our Experts are well trained to follow all marking rubrics & referencing Style. Be it a used or new solution, the quality of the work submitted by our assignment experts remains unhampered.
You may continue to expect the same or even better quality with the used and new assignment solution files respectively. Theres one thing to be noticed that you could choose one between the two and acquire an HD either way. You could choose a new assignment solution file to get yourself an exclusive, plagiarism (with free Turn tin file), expert quality assignment or order an old solution file that was considered worthy of the highest distinction.