Calculus Problems: Limits, Discontinuities, Derivatives, and Tangent Lines
- Country :
Australia
Question 1 (3 marks)
Sketch the following function and determine the values ofc such that lim g(x) exists.

Question 2 (2 marks)

find lim f(x).
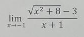
Question 3 (3 marks)
Evaluate the following limit:

Question 4 (3 marks)

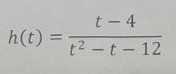
For the following function, determine the point(s), if any, at which it is discontinuous. Classify any discontinuity as jump, removable, infinite, or other.
Question 5 (2 marks)
Use the limit definition of a derivative to find f(x), where f(x) = 5x+6x.
Question 6 (14 marks)
The level of liquid (in cm) in a container t seconds after opening the tap at the bottom is given by:

- Determine the initial level of liquid in a container.
- b) How long does it take to empty the container after the tap has been opened? Determine (10) and briefly interpret the result.
- c) Determine L (10) and briefly interpret the result.
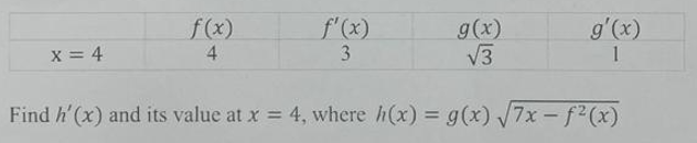
Question 7 (13 marks)
Suppose the values for x = 4 of functions f. g and their derivatives are given below:

Question 8 (13 mark)
Find the slope of the tangent line to the following curve at the point (2,0.89):

Are you struggling to keep up with the demands of your academic journey? Don't worry, we've got your back!
Exam Question Bank is your trusted partner in achieving academic excellence for all kind of technical and non-technical subjects. Our comprehensive range of academic services is designed to cater to students at every level. Whether you're a high school student, a college undergraduate, or pursuing advanced studies, we have the expertise and resources to support you.
To connect with expert and ask your query click here Exam Question Bank