Develop a MatLab simulation of a 2-DOF RR Planar manipulator
- Country :
Australia
Develop a MatLab simulation of a 2-DOF RR Planar manipulator. The end-effector of the manipulator has to follow a reference trajectory given in Lab#05.
.png)
Additionally, you have to consider the velocity (xa, ya) and acceleration (a,d) along the trajectory. The position, velocity and acceleration of end-effector along the desired trajectory can be transformed to desired joint variables, joint velocities and joint accelerations using following relations,
.png)
.png)
.png)
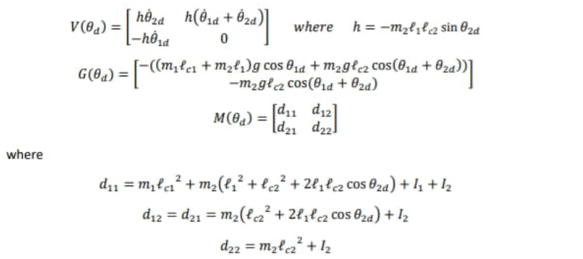
Use the computed torque is last step to drive the manipulator joints. Simulate the dynamic model of the manipulator using forward dynamic equation for small time step for computed input torque and current state of joint angles, and joint velocities.
.png)
Hint: You can represent the 2nd order differential equation as 1st order differential equations using state space representation as follows;
.png)
You can integrate the differential equation using 4th order Range-Kutta method.
Deliverables:
Simulate the manipulator for one cycle of the circular reference trajectory. Plot the history of following variables at the end of simulation.
End Effector position, velocity and acceleration along reference trajectory
- Desired Joint angles, joint velocities and joint accelerations
- Actual Joint angles, joint velocities and joint accelerations
- Error in position, velocity and acceleration of joint variables Joint Torques along the reference trajectory.
Consider following parameters
m1 = m2 = 1 unit l1=l2= 3 unit, g=10
For reference circular trajectory center = (2,2) and radius = 1unit
Get your Develop a MatLab simulation of a 2-DOF RR Planar manipulator assignment solved by MATLAB Experts from Exam Question Bank . Our Assignment Writing Experts are efficient to provide a fresh solution to all question. We are serving more than 10000+ Students in Australia, UK & US by helping them to score HD in their academics. Our Experts are well trained to follow all marking rubrics & referencing Style. Be it a used or new solution, the quality of the work submitted by our assignment experts remains unhampered.
You may continue to expect the same or even better quality with the used and new assignment solution files respectively. Theres one thing to be noticed that you could choose one between the two and acquire an HD either way. You could choose a new assignment solution file to get yourself an exclusive, plagiarism (with free Turn tin file), expert quality assignment or order an old solution file that was considered worthy of the highest distinction.