EC4004 EconomicsQuantitativelyTreated: Recap of Arithmetic Assignment
- Subject Code :
EC4004
- Addition andsubtractionwithpositiveandnegativenumbers:
- 6+2=
- 6?2=
- ?6+2=
- ?6?(+2)=
- 8?(?4)=
- Multiplication anddivisionwithpositiveandnegativenumbers:
- 39=
- 3(?9)=
- (?6)(?3)=
- 90=
- 9(?3)=
- (?10)(?2)=
- BEDMAS(brackets,exponents,division,multiplication,addition,subtraction):
- (4+2)3=
- 324=
- 102+3=
- Explain thefollowingusefulsymbols:
- (a)/
- (b)?
- (c) ?
- (d)
- (e) ?
- (f) ?
- (g)?
- Convert thefollowingfractionstodecimals:
- 1/2
- 1/1000
- 5/8
- Convert the followingdecimalstofractions:
- 0.1=
- 0.06=
- 0.375=
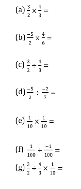
- Multiplying anddividingfractions:
.png)
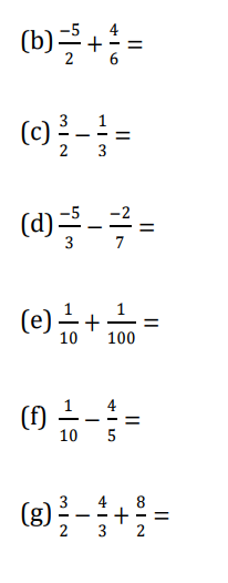
- Adding andsubtractingfractions:
.png)
.png)
- Percentagechanges:
- Supposeapersonsannualincomeincreasesfrom20,000to22,000.Whatis the percentage change?
- Supposeapersonsannualincomeincreasesfrom40,000to46,500.Whatis the percentage change?
- Supposeapersonsannualincomedecreasesfrom35,000to30,000.Whatis the percentage change?
- Suppose acountrysmonthly GDPincreasesfrom150billion to 165 What isthe percentage change?
- Suppose acountrysmonthly GDPincreasesfrom165billion to 180 What isthe percentage change?
- Supposeunemploymentdecreasesfrom6millionpersonsto1.4millionpersons. What isthe percentage change?
- Suppose you have anoutstandingloanof 200, which you cannotpayoff this month.The monthly interest rate is 8%. What is the outstandingloan value next month?
- Supposeyoustillcannotpayofftheloannext Themonthly interestrate is still8%. Whatis the outstandingloanvaluethe month after next?
- Atthefixedinterestrateof8%,howmanymonthswillit take for theloanto double in value?