Simulation and Analysis of Continuous Stirred Tank Reactor (CSTR) Using Matlab/Simulink - Coursework Guide
- Subject Code :
7402MENR
Introduction
This coursework is designed to meet the Learning Outcomes of this module as listed below. The work includes simulation and test of the continuous stirred reactor (CSTR) using Matlab/Simulink. Students should independently complete it and submit a report.
Learning Outcomes
1. Use complex Matlab coding to solve complex ODEs and other high level scientific computation problems.
2. Simulate dynamic systems with Simulink.
Coursework Specification
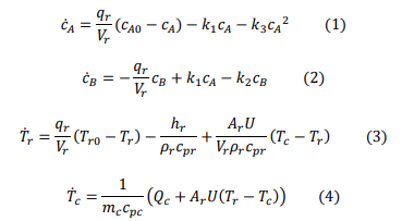
The main reaction in the CSTR is the transformation of cyclopentadiene (substance A) to the product cyclopentenol (substance B). There are two by-products C and D formed in the reaction. The schematic of the reactor is displayed in Fig.1.

Fig.1 Schematic of the chemical reactor
The so-called van der Vusse reaction can be described by the following reaction scheme,

The dynamics of the reactor can be described by the following nonlinear differential equations that are derived from component balances for substances A and B and from energy balances for the reactor and cooling jacket,

