Trigonometric Function Assignment
- Country :
Australia

.png)
Problem 1: (0.75 grade step)Plot three successive cycles of the signal q(t).
Problem 2: (4 grade steps) Analytically determine the trigonometric Fourier series of the signal giving all of your calculations in detail.
Problem 3: (2 grade steps) Numerically determine the first thirteen Fourier coefficients of the signal. Your solution must offer justification/validation of your choice for critical parameter N in the numerical algorithm.
Note that the command fft assumes that first sample is at time t = 0. This is a complication here as the first value of t for which the formula is given does not equal 0.
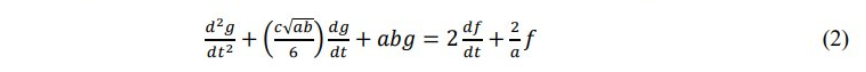
A system with input f and output g is described by the following differential equation.
.png)
Problem 4: (0.5 grade step) Find the transfer function of the system and hence plot its magnitude response.
Problem 5: (2 grade steps) Using Fourier analysis analytically determine the trigonometric Fourier series of the steady-state output of this system when the input is the signal q(t) of Eq. (1) above, giving all of your calculations in detail.
Problem 6: (1.5 grade steps)Using the numerical result of problem 3 write out numerically the first 25 terms of the trigonometric Fourier series of the output of system of Eq. (2) when the input is signal q(t) of Eq. (1). Compare this numerical solution with the analytical results of problem
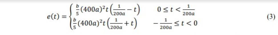
The voltage signal e(t) is periodic and has frequency 100a Hz. Over one period it is given by:
.png)
The signal is corrupted by a low amplitude hum, specifically the addition of 0.02sin(200ant).
Problem 7: (0.75 grade step)Plot three successive cycles of the corrupted signal. Offer evidence that this signal looks approximately like a sinusoid of amplitude b/5 and frequency 100a Hz, although corruption will be clearly visible if personal parameter b is small.
Problem 8: (4 grade steps)Analytically determine the trigonometric Fourier series of the corrupted signal, giving all of your calculations in detail.
Problem 9: (2 grade steps)Numerically determine the first thirteen Fourier coefficients of the uncorrupted signal e(t) and offer evidence that it is not a sinusoid. Your solution must offer justification/validation of your choice for critical parameter N in the numerical algorithm.
Problem 10: (2 grade steps) Using Fourier analysis analytically determine the trigonometric Fourier series of the output of the system of Eq. (2) when the input is the corrupted signal, i.e. e(t) of Eq. (3) with the additional mains hum, giving all of your calculations in detail.
Problem 11: (1.5 grade steps) Using the numerical result of problem 9 write out numerically the first 25 terms of the trigonometric Fourier series of the output of system of Eq. (2) when the input is the corrupted signal, i.e. e(t) of Eq. (3) with the additional mains hum. Compare this numerical solution with the analytical results of problem 10.
Get your Trigonometric Math assignment solved by our Maths Experts from Exam Question Bank . Our Assignment Writing Experts are efficient to provide a fresh solution to all question. We are serving more than 10000+ Students in Australia, UK & US by helping them to score HD in their academics. Our Experts are well trained to follow all marking rubrics & referencing Style. Be it a used or new solution, the quality of the work submitted by our assignment experts remains unhampered.
You may continue to expect the same or even better quality with the used and new assignment solution files respectively. Theres one thing to be noticed that you could choose one between the two and acquire an HD either way. You could choose a new assignment solution file to get yourself an exclusive, plagiarism (with free Turn tin file), expert quality assignment or order an old solution file that was considered worthy of the highest distinction.