diff_months: 36

Economics Quantitatively Treated: Equations and Functions Assessment

Download Solution Now
Added on: 2023-05-05 06:31:52
Order Code: 489663
Question Task Id: 0
  • Subject Code :

    EC4004

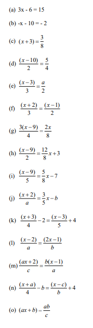
  1. Solve the following for x:
    Equations_and_Functions-1683267971.png
  2. Identifytheverticalintercept andslope(gradient)ofthefollowing;
    Equations_and_Functions-1683268043.png
  3. Usingthefirst equationin question2(y=-2 + 3x),what valuedoesytakewhen:
    Equations_and_Functions-1683268091.png
  4. Sketch thegraphsof thefollowing functions:
    Equations_and_Functions-1683268186.png
  5. Write the following equations as functions of the form y = f(x)andsketch their
    Equations_and_Functions-1683268259.png
  • Uploaded By : Katthy Wills
  • Posted on : May 05th, 2023
  • Downloads : 0
  • Views : 418

Download Solution Now

Can't find what you're looking for?

Whatsapp Tap to ChatGet instant assistance

Choose a Plan

Premium

80 USD
  • All in Gold, plus:
  • 30-minute live one-to-one session with an expert
    • Understanding Marking Rubric
    • Understanding task requirements
    • Structuring & Formatting
    • Referencing & Citing
Most
Popular

Gold

30 50 USD
  • Get the Full Used Solution
    (Solution is already submitted and 100% plagiarised.
    Can only be used for reference purposes)
Save 33%

Silver

20 USD
  • Journals
  • Peer-Reviewed Articles
  • Books
  • Various other Data Sources – ProQuest, Informit, Scopus, Academic Search Complete, EBSCO, Exerpta Medica Database, and more