Fire Plume Experiment
- Country :
Australia
Objective:
To investigate a natural plume involving a pool fire.
Apparatus:
The apparatus consists of a thermocouple tree (See figure 1) with type K thermocouples at the spacings shown below. A Computerised data logging system is employed to provide results. Three sizes of metal fuel trays are provided.

Theory:
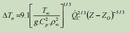
For a natural plume it has been suggested that the following equation correlates the change of Temperature over ambient .To along the fire axis with regard to vertical height (Z) and the pools convective heat output Q(Fig 2).


If certain parameters are approximately constant then the equation may be written as:

Where C is a constant and

Rearranging and making K = (C)3/5 Then

Note: C =K5/3
Where K is a constant and may be determined graphically in the form of the gradient of a plotted straight line of Z versus TO?3 / 5 and Zo is the intercept. Note employ temperatures at approx steady state.
Procedure:
- Locate the thermocouples and ensure they are correctly connected to the data logging equipment carefully noting the identity of each channel.
- Set in a tray of methylated spirits (200/300ml)
- Initialize the data recording devices,
- Light taper provided and carefully ignite the fuel whilst simultaneously starting the recording devices,
- Pay close attention to the flames and estimate the mean flame height and the maximum flame height.
- Repeat the experiment for each of the tray sizes.
- From the resulting data test the correlation suggested.
Results and Observations:
Record clearly any observations made.
Analysis of Results:
- Using the data from the logging equipment plot graphs Z versus ?TO?3 / 5 and determine Both K and ZO.
- Make pertinent comments regarding the shape of the graphs,
- Estimate the average convective heat release rate for each test burn (QC) employing the natural plume equation.
- Estimate the Mean flame height for each burn employing a suitable analytical expression.
Conclusions:
Record any relevant conclusions you have made as a result of carrying out these experiments.
Are you struggling to keep up with the demands of your academic journey? Don't worry, we've got your back! Exam Question Bank is your trusted partner in achieving academic excellence for all kind of technical and non-technical subjects.
Our comprehensive range of academic services is designed to cater to students at every level. Whether you're a high school student, a college undergraduate, or pursuing advanced studies, we have the expertise and resources to support you.
To connect with expert and ask your query click here Exam Question Bank