MXB100 Introductory Calculus And Algebra Assignment
- Subject Code :
MXB100
- Country :
Australia
Question 1 (10 marks) <!--/strong-->
Find dy/dx for each of the following expressions.
- y = (x2 ? x)e2x
- y = cos(4/x2+ 2x4
- y = 3x2 + 6x + sin(x)/2ex+1
- 3x2y + ey = 2 (x + 1)
- y = (2x)?x , note that ?x = x1/2
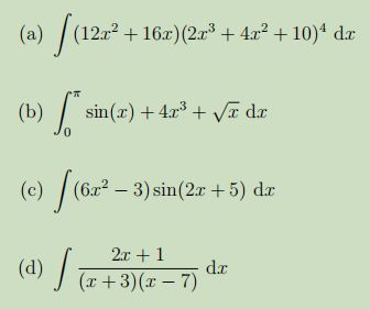
Question 2 (11 marks)
Calculate the following integrals.

Question 3 (4 marks)
Mike is driving on a long, straight road with a speed limit of 100 km/hr. There is a speed camera set up exactly 76 km from his starting point. Mikes position at time t (in hours), can be described by the function,
M(t) = 39t2 + 5t,
where M(t) is his distance (in km) from his starting point.
- What is Mikes speed after 1 hour?
- How fast is Mike travelling when he passes the speed camera? Will he get a speeding fine?

Question 4 (5 marks)
Kate is making a vase that is 5 cm tall, with a side profile that can be described by the equation,
y = 4? xe?0.1x2
The figure below shows the vases side profile.
What is the volume of the vase?

Are you struggling to keep up with the demands of your academic journey? Don't worry, we've got your back! Exam Question Bank is your trusted partner in achieving academic excellence for all kind of technical and non-technical subjects.
Our comprehensive range of academic services is designed to cater to students at every level. Whether you're a high school student, a college undergraduate, or pursuing advanced studies, we have the expertise and resources to support you.
To connect with expert and ask your query click here Exam Question Bank