Systems of Equations and Gaussian Elimination
(1) Consider the following equations.

(2) Consider the following expressions.

(3) This question deals with complex numbers.

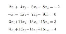
(4) Consider the following system of linear equations and answer the subsequent questions

(a) Write the system as Ax = b for some matrix A and a vector b (2 marks).
(b) Use Gaussian elimination to solve the system exactly; that is, do not convert
fractions to decimals. Make sure to first find the row-echelon form (8 marks)
of its augmented matrix and provide the general solution (2 marks).
(c) Compute the rank of A (2 marks).
(5) (Harder question) This question considers one application of systems of linear
equations. The system should be solved using Gaussian elimination.
The fuel consumption of a car depends on the road conditions it encounters.
For example, on freeways, cars tend to drive faster, which can lead to higher fuel
consumption. Conversely, in urban areas like Geelong, frequent stops also result
in increased fuel usage. To assess the environmental impact, a researcher from
Deakin University aims to quantify the fuel consumption on different road types.
To this end, they have enlisted three individuals to monitor their fuel usage during
their commutes in identical cars.
 Mr. Tom Jerry first covers 19 kilometres through rural areas, then 23 kilometres on the
freeway, and finally 4 kilometres in the city.
 Ms. Ursula starts with 14 kilometres in rural areas, followed by 27 kilometres
on the freeway, and concludes with 9 kilometres in Geelong.
 Mr. Mickey Mouses route consists of 15 kilometres through Geelong, followed
by 7 kilometres on the freeway, and 16 kilometres through rural areas.
Mr. Tom Jerry consumes 5 litres of fuel for his journey, Ms. Ursula uses 7 litres,
and Mr. Mickey Mouse needs 9 litres.
Let x represent the fuel consumption in litres per kilometre in rural areas,
y for freeway travel, and z for driving in Geelong. How many litres of fuel are
needed per kilometre on the different types of road? Answer the question exactly
(6) (Harder question) In this problem we investigate Gaussian elimination of matrices with complex entries. Consider the following matrix and vector

Method: If a matrix has complex entries, then Gaussian computation runs as in
the case of real entries. In short, the only difference is that the arithmetic
is carried out with complex numbers rather than real ones.
(a) Use Gaussian elimination to solve the system exactly; that is, do not convert
fractions or irrational numbers to decimals. Make sure to first find the rowechelon form (15 marks) of its augmented matrix and provide the general
solution where the complex numbers are all in standard form (2 marks).
(b) Compute the rank of B (2 marks).
'
Are you struggling to keep up with the demands of your academic journey? Don't worry, we've got your back! Exam Question Bank is your trusted partner in achieving academic excellence for all kind of technical and non-technical subjects. Our comprehensive range of academic services is designed to cater to students at every level. Whether you're a high school student, a college undergraduate, or pursuing advanced studies, we have the expertise and resources to support you.
To connect with expert and ask your query click here Exam Question Bank
 
								