Design Optimisation for Manufacturing Assignment
- Subject Code :
49928
- Country :
Australia
- Solve the following two problems with both exhaustive enumeration and branch and bound
- The assignment is worth 20 marks in total (20% of your final mark for the subject)
- Exhaustive enumeration is worth 4 marks for each problem, and branch and bound is worth 6 marks for each problem.
- Problem 1 is a mixed integer linear optimization problem (the problem has both discrete and continuous variables). Do not use intlinprog (from MATLAB) to solve this problem, for exhaustive enumeration solve it by enumerating through the discrete variables and then use linprog to find the continuous variables. For branch and bound use linprog or Excel Solver to find the partial solutions.
- Problem 2 is a discrete nonlinear optimization problem. For branch and bound use fmincon or Excel Solver to find the partial solutions.
- Write a report including all of the followings:
- Describe the process of finding the solution: how many evaluations were needed for exhaustive enumeration? What path did the search take for branch and bound? How many partial and full evaluations were needed for the branch and bound?
- Include your MATLAB code for an exhaustive enumeration
- Include any code or an image of any spreadsheets used for branch and bound
- Draw the trees for branch and bound. For each node state:
- Which variables are constrained
- The partial or full solution
- Whether or not the solution is feasible.
- Whether or not the node has been pruned
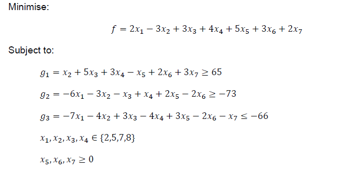
Problem 1.
.png)
Problem 2
An I-beam is shown in the figure to the right. Given the following equations and constraints, develop a mathematical model and find the dimensions of a beam with a minimal cross-sectional area.
.png)
.png)
This Engineering Assignment has been solved by our Engineering Expert at Exam Question Bank. Our Assignment Writing Experts are efficient in providing a fresh solution to this question. We are serving more than 10000+ Students in Australia, UK & US by helping them to score HD in their academics. Our Experts are well-trained to follow all marking rubrics & referencing Styles. Be it a used or new solution, the quality of the work submitted by our assignment experts remains unhampered. You may continue to expect the same or even better quality with the used and new assignment solution files respectively. Theres one thing to be noticed you could choose one between the two and acquire an HD either way. You could select a new assignment solution file to get yourself an exclusive, plagiarism (with free Turn tin file), expert quality assignment, or order an old solution file that was considered worthy of the highest distinction.