33190 Mathematical Modelling for Science Assessment
- Subject Code :
33190
- University :
University of Technology, Sydney Exam Question Bank is not sponsored or endorsed by this college or university.
- Country :
Australia
Question 1. - Begin a new booklet for this question.
- Let a, b and c be the vectors a = (0, 3, 4), b = (1, 0, ?2), and c = (?1, 0, 3).
- Evaluate a (b c)
- Find a vector parallel to a with length equal to 7.
- Find a vector perpendicular to both b and c and with the same length as vector a. (6 marks)
- Find a scalar number m such that the vector p = (5, 1, 3) is perpendicular to the vector q = (1, 2, m). (4 marks)
- Find the Cartesian equation of the plane passing through the three points (1, 0, ?1), (1, 2, 1) and (1, ?1, 0). (5 marks)
- A line goes through the point (?1, ?2, 3) and is parallel to the vector (2, 1, ?1). How close to the origin does the line come? [Hint: At the closest point the direction of the line is perpendicular to the vector from the origin to the line.] (5 marks)
Question 2. - Begin a new booklet for this question.
- For the complex numbers z1 = 2 + 2i and z2 = 3?5i, express each of the following complex numbers in the form a + ib, with a and b real:
- (z1^+I)
- z1/z2-2i
- Express the complex number ?2? 3+2i in exponential polar form (i.e. in the form rei?). Hence or otherwise, express (?2? 3 + 2i)^ 17 in Cartesian form (i.e. in the form a + ib). (5 marks)
- Find all fourth roots of 1 + i, and plot the solutions in the complex plane. (5 marks)
- Starting from the complex identities for sine and cosine
sin ? = 1/2i (e i? ? e?i?)
cos ? = 1/2 (e i? + e?i?) ,
prove the trigonometric identity
sin(A + B) = sin A cos B + cos A sin B
(5 marks)
Question 3. - Begin a new booklet for this question.
- Find the first derivatives of the following functions:
- f(x) = (5x + 3)6
- f(x) = 1 /ln x2
- f(x) = sinh?1 (2x)
- f(x) = sin3(e 2 cos x)
(4 marks)
- To test zero-gravity devices, NASA uses aeroplanes that trace parabolic arcs, given by the equation
y(x) = h ? 1/ax2
where h = 8000 m is the initial height of the run and a = 2000m2 is a measure of the curvature. At the point x = 100m, it is observed that the aeroplanes horizontal velocity is 100 m s?1 . Compute the vertical velocity at this point.
(6 marks) - Show that the series
??k=0 k2e?2k converges. (5 marks) - Find the fifirst three non-zero terms of the Taylor series of
f(x) = 1 /1 + x
expanded about x = 0. Using the fifirst three terms of this series, estimate the value of the integral
?0 1 1 /1 + x dx .
Then evaluate this integral directly and obtain a value for the error of your estimate. (5 marks)
Question 4. - Begin a new booklet for this question.
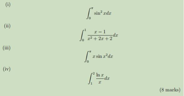
Evaluate the following indefifinite integrals

Evaluate the following defifinite integrals

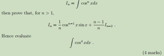
Given the defifinition

Question 5. - Begin a new booklet for this question.
- Find the general solution to the difffferential equation
dy /dx + 1/xy = x^2 - Find the general solution to the following difffferential equations:
- d^2y /dx^2 ? 5 dy /dx ? 6y = 0 .
- d^2y /dx^2 ? 4 dy /dx + 8y = 0 . (6 marks)
- A physical mass-spring system is modelled by the second-order differential equation
M d^2y /dt^2 + 2? dy /dt + ky = 0
where k is the spring constant, ? is the damping coeffiffifficient, and M is the mass.- Show that, if ?2 < kM xss=removed>
- Graph the motion of the system for the initial conditions y(0) = 1, y? (0) = 0.
- What is the period of the oscillation? In the limit that ? ? 0, what happens to the period if the mass M is doubled? (6 marks)
Question 6. - Begin a new booklet for this question.
- Given the matrices A = ( 2 1 1 ?1 ) and B = ( 1 ?1 2 1 0 1 ) determine, where possible:
- AB
- ABT
- A + B
- A?1 . (8 marks)
- Write the system of equations
x1 + 4x2 = 5
2x1 ? x2 = 2
in matrix form. By fifinding the inverse, solve for x1 and x2. (8 marks) - Find the inverse of the matrix A =( 1 1 3 ?1 1 ?4 0 2 1)
Hence solve the system of equations
x1 + x2 + 3x3 = 1
?x1 + x2 ? 4x3 = 1
2x2 + x3 = 1 . (4 marks)
