linear Function Assignment
- Country :
Australia
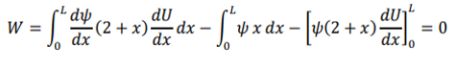
un problme de mcanique rgi par la forme faible variationnelle suivante :

o est une fonction test et U l'inconnue du problme.
Les conditions aux limites associes sont :
U(x=0)=0.1 etdu/dx(x=L)=2.5
Le maillage associ, donn figure ci-dessous, est compos de trois nauds et deux lments finis linaires.

Partic thorique:
- Dterminer les fonctions d'approximation linaires N, et N? pour un lment fini deux nuds.
- Calculer la matrice lmentaire [K] et le vecteur lmentaire (f) associs chacun des deux lments.
- Assembler la matrice globale et le vecteur global des sollicitations.
- Ajouter les deux conditions aux limites et dterminer le systme matriciel rsoudre,
Are you struggling to keep up with the demands of your academic journey? Don't worry, we've got your back! Exam Question Bank is your trusted partner in achieving academic excellence for all kind of technical and non-technical subjects.
Our comprehensive range of academic services is designed to cater to students at every level. Whether you're a high school student, a college undergraduate, or pursuing advanced studies, we have the expertise and resources to support you.
To connect with expert and ask your query click here Exam Question Bank